TOKİ 250.000 Sosyal Konut Projesi kapsamında yer alan Zonguldak Merkez 222 Adet Konut Projesi hak sahiplerine yönelik önemli bir aşama daha tamamlandı. Zonguldak Merkez İlçesi Üzülmez TTK Lojmanları 2. Etap 369 Adet Konut Projesi kapsamında inşa edilen 42 adet konut için “Konut Belirleme Kurası” çekildi.
Kura çekimi, 23 Aralık 2025 Salı günü saat 14.00’te, noter huzurunda gerçekleştirildi. Şeffaflık ilkesi doğrultusunda yapılan kura çekimi, ilgili kurumun YouTube hesabı üzerinden canlı olarak yayınlandı.
Gerçekleştirilen kura ile 42 konutun hak sahipleri belirlenirken, sonuçlar sosyal konut hayali kuran vatandaşlar tarafından büyük bir heyecanla takip edildi. Kura sonucunda konut sahibi olmaya hak kazanan vatandaşlar, uzun süredir bekledikleri evlerine kavuşmanın sevincini yaşadı.
Yetkililer, kura sürecinin tamamlanmasının ardından hak sahiplerine yönelik bilgilendirme ve teslim sürecine ilişkin detayların ilerleyen günlerde duyurulacağını bildirdi.
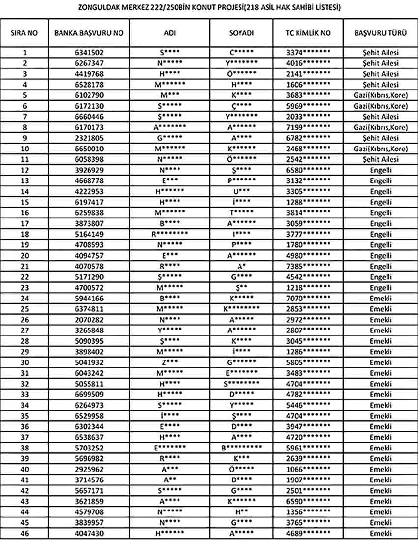
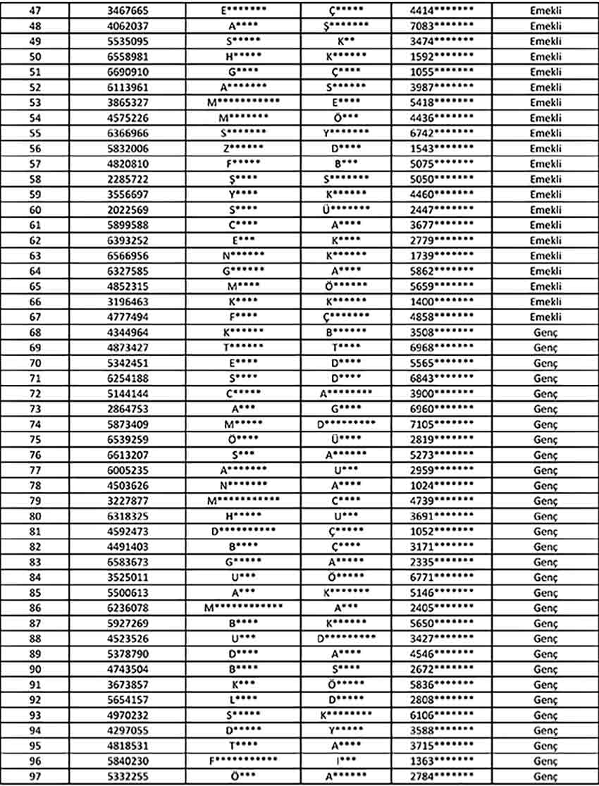
ZONGULDAK MERKEZ 222/250BİN KONUT PROJESİ(218 ASİL HAK SAHİBİ LİSTESİ










