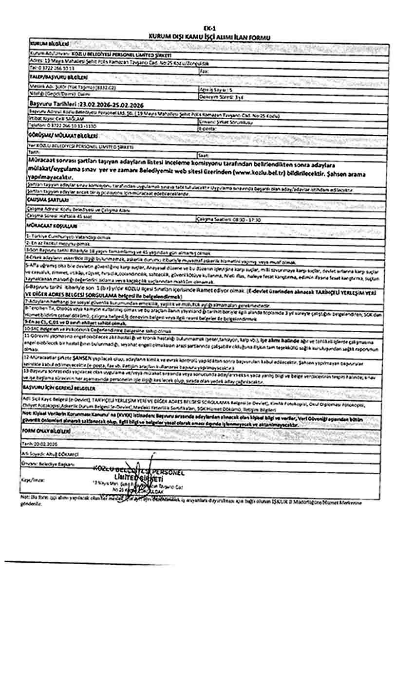
Kozlu Belediyesi, bünyesine yeni personel katmak için harekete geçti. Belediye, farklı pozisyonlarda görevlendirilmek üzere toplam 6 personel alımı gerçekleştirecek.
HANGİ POZİSYONLAR VAR?
• 5 Şoför
• 1 Okul Öncesi Öğretmen
Başvuruların özellikle şoförlük ve eğitim alanındaki adaylar için büyük fırsat olduğu belirtiliyor.
BAŞVURULAR NE ZAMAN SONA ERİYOR?
Başvurular 25 Şubat Çarşamba günü sona erecek. Adayların süreci kaçırmaması için hızlı hareket etmeleri öneriliyor.
BAŞVURU KOŞULLARI VE DETAYLAR


Kaynak: Haber Merkezi




